找回密码
 注册会员

QQ登录

只需一步,快速开始

扫一扫,访问微社区

查看: 257|回复: 0

面向模具制造系统的电火花线切割DNC系统(下)

[复制链接]
发表于 2010-9-12 09:14:41 | 显示全部楼层 |阅读模式

马上注册,结交更多好友,享用更多功能,让你轻松玩转磨削论坛

您需要 登录 才可以下载或查看,没有账号?注册会员

×

  (3)对已排序的所有图形元素生成NC指令

$ ]2 L* z& U! q# Y1 z8 d' b$ Q" o: |( f2 d) [

  线切割机保留单独控制器结构,以提高实时性和可靠性。计算机通过RS232串行口与线切割机控制器通讯口相连,可实时输入线切割程序对机床进行控制,或通过机床的电报头模拟纸带输入进行控制。同时,控制器可向计算机传输机床状态信息,如断丝、短路、加工开始、结束等,以实现计算机对多台线切割机的管理和控制。实现计算机与线切割机的串行通讯,其原理框图如图4所示。

% l7 e& \* W$ G9 Q" G8 s" w! u" H: r

  图4串行双向数据传输原理图

h( C4 Y- E1 T( u7 T" L: Z( T& g. \6 E

  4管理系统

* k0 J. O- x0 J, m 5 b# r% E, |" K0 S" u! i4 @3 g

  管理系统具有如下功能:

! A/ T0 R" F. e# x* j( s8 h$ X" N7 ^8 ^, Z3 ]& L: y( d

  (1)生成切割工艺参数库,对切割电流、切割速度和脉冲频率等参数提出意见。

& v! t) J6 R9 a- E: ^0 { 5 D3 A" L7 f* c$ M& @) L

  (2)计算各零件的切割加工工时数,根据零件的加工厚度、路径长度和工艺参数计算零件的加工时间。

' Z" A# g' G( r3 m: D3 R / p4 E5 U1 K9 [ @ n) ~

  (3)生成调度计划。

6 |9 R' q# }, X+ Z9 k9 ~) o " g* [0 u, ^( `. p! z$ B

  按批次所限时间安排计划,同时考虑各种规格设备的均衡及最大负荷。作业分配计划按天。分配时要考虑:①从数量和品种上保证作业计划的完成;②成批的产品尽可能集中生产;③由于生产技术准备等方面的原因,某些零件要在某天后才能加工;④某些产品要求在头几天内完成。

+ N1 r* Q4 n8 L# E. }# | 4 I0 b& ?! R m% N( I( K

  如对计划内的每天同时计算,问题非常复杂。根据上述条件从第一天至最后一天逐天计算。

4 F4 f# `+ J8 P- t& @5 [- x7 E h$ \, E' B% M( L/ S( e

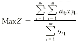
  假定车间有m种规格的线切割机,用i表示(i=1,2,…,m),加工n种产品,分别用j表示(j=1,2,…,n)。这些产品计划量用dj表示。

( v* E- k4 B" G9 ~+ I) z$ Q G W : @- K7 p( \, F6 O( a3 |3 J

  用aij表示加工单位j种产品需要的第i类机床的台时数,bik表示第k天内第i类设备的生产能力(台时)。xjk表示第k天计划生产j种产品的数量。

! ~* y# D, m3 B# V9 n0 m: B # N2 H3 l1 E% h7 A4 S9 |; Q

  再根据前面的假定条件,如第5、8两产品到后半段生产,第4号产品要求第二天前完成。则第二天的线性规划模型为:

5 S0 W, b- B% E: e! A % L" a! B; [1 P+ R& K+ i1 D

  满足:

) y$ T: j1 V: _8 C3 B $ i( s& N7 l+ Y. x7 E2 @

  其意义是以第一天各种规格机床的生产能力总和为分母,生产各种产品需要的各类机床总台时数为分子,计算出第一天的平均设备利用系数Z,并以Z为目标函数。

4 Y) X) ^5 R. s; a) u ; L' `5 n/ l+ Y4 e. f

  然后依次作出后续各天的线性规划模型并求解,再根据具体情况对计算结果进行必要的调整。

% Y5 z$ Z3 Z' t& v2 w2 f6 j * n6 i+ t3 C0 ^: a

  (4)监控加工情况,可对各台线切割机加工情况进行跟踪,实现故障报警、工件准备提示、加工结束提醒及加工量等的记录、统计、计算。

/ T% V' r. U& \: q/ e! n ) i( M0 y( b |; i# _* S

  5控制系统

, g2 s- b, K+ P . M' m; E3 t; D; {+ z u

  DNC系统采用主从计算机式结构。线切割机在从计算机的控制下能独立工作,因此控制系统应具备常用数控电火花线切割机所具有的控制功能,在此不作详细讨论。除此之外,控制系统应能与主机双向通讯,对监控和管理提供信息。

. d5 {* f7 D8 A! l7 R" a, R% q5 a/ S% |7 s0 U" ], \ $ ]5 z$ ]6 o6 v $ V# i& R) @$ |: g+ \2 U
您需要登录后才可以回帖 登录 | 注册会员

本版积分规则

中国磨床技术论坛
论 坛 声 明 郑重声明:本论坛属技术交流,非盈利性论坛。本论坛言论纯属发表者个人意见,与“中国磨削技术论坛”立场无关。 涉及政治言论一律删除,请所有会员注意.论坛资源由会员从网上收集整理所得,版权属于原作者. 论坛所有资源是进行学习和科研测试之用,请在下载后24小时删除, 本站出于学习和科研的目的进行交流和讨论,如有侵犯原作者的版权, 请来信告知,我们将立即做出整改,并给予相应的答复,谢谢合作!

中国磨削网

QQ|Archiver|手机版|小黑屋|磨削技术网 ( 苏ICP备12056899号-1 )

GMT+8, 2025-11-27 00:42 , Processed in 0.105235 second(s), 23 queries .

Powered by Discuz! X3.5

© 2001-2025 Discuz! Team.

快速回复 返回顶部 返回列表