找回密码
 注册会员

QQ登录

只需一步,快速开始

扫一扫,访问微社区

查看: 584|回复: 0

并联式钢坯修磨机器人动力学及轨迹规划研究

[复制链接]
发表于 2009-11-22 13:49:48 | 显示全部楼层 |阅读模式

马上注册,结交更多好友,享用更多功能,让你轻松玩转磨削论坛

您需要 登录 才可以下载或查看,没有账号?注册会员

×
    

1 引言

  本文介绍了一种新型的三自由度并联式钢坯修磨机器人机构,它是由运动平台、固定平台、空间平动机构及连接两个平台的三个分支组成,每个分支之间有一个作为驱动的移动副,其他关节均为虎克铰(图1).它的工作原理是由三个驱动轴控制运动平台沿X、Y、Z三个方向移动,使安装在运动平台上的砂轮对钢坯进行修磨.其作用等效于一台三轴联动的数控磨床,但它的结构却比传统磨床简单许多.另外,该机构具有运动学和动力学正反计算简单、作业空间大和无位置奇异等优点,这些优点给其设计和使用带来许多方便.本文首先提出这种并联机构运动学的正逆解,然后应用拉格朗日方法讨论了该机构在操作空间和关节空间的动力学方程,再根据钢坯修磨的作业特点进行了修磨轨迹规划,尤其是对拐角轨道进行了专门设计,最后对运动学和动力学进行计算机仿真.这些工作将对钢坯修磨机器人的控制和结构优化设计提供有益的依据.

图1 三自由度度联式钢坯修磨机器人机构

2 运动学方程

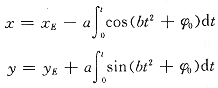
  在图1所示的机构中上平台为固定平台,下平台为运动平台,它们均为正三角形.将坐标系XYZ放置在固定平台中心ObZ轴向下.设运动平台中心Op在坐标系中的坐标为{xp yp zp}T.因为运动平台只有三个移动自由度,而位姿并无变化,所以机构的位置逆解[1]

      (1)

式中d=(R-r)/2,R和r分别是上下平台外接圆的半径.
  从上式中可求出运动平台中心的坐标,即机构位置正解为

      (2)

由此可以求出运动平台的雅可比矩阵为

(3)

3 动力学方程

  下面应用拉格朗日方法对机构的动力学进行分析,对于任何机械系统,操作空间内的主动力为

      (4)

式中:L称为拉格朗日函数,表示机构的动能K和势能P之差,qj为机构的广义坐标,qj={xp,yp,zp}T
  将L=K-P代入式(4)中,求得机构在操作空间内的主动力Fj

      (5)

在本机构中驱动杆的结构如图2所示,它的质心距固定端的距离为

     (6)

式中m为杆i的质量;
  m1为杆i中摆动杆的质量;
  l01为摆动杆质心到固定点Bi的距离;
  l02为伸缩杆的质心到活动点Ai的距离;
  li为杆i的总长,它是随时间变化的.
因此,机构的动能

     (7)

式中M为运动平台的质量;
   θi是杆i与固定平台的夹角

      (8)

机构的势能

      (9)

将式(7)和(9)代入式(5)得

(10)

在式(10)中,忽略了各关节中摩擦力和空间平动机构对驱动力的影响.借助于雅可比矩阵J,可将操作空间的主动力转换成关节空间的关节驱动力

τj=JTFj   j=1,2,3      (11)

图2 驱动杆结构示意图

4 修磨轨迹规划

  钢坯修磨机器人是为了解决钢坯局部修磨自动化而设计的专用机器人,具体修磨轨迹如图3所示.

图3 钢坯修磨轨迹

  本文采用直角坐标空间的规划方法进行轨迹规划.由于钢坯修磨采用恒压力,为避免产生磨削烧伤,保证修磨质量,作业时要求运动平台携带砂轮匀速通过全部作业轨迹(两端除外).这就需要对拐角轨道进行特殊的光滑设计,以保证砂轮能够高速平稳地通过这一区域.如采用普通圆弧接续的拐角轨道将能够保证运动速度连续,但在直线与圆弧接点处,由于曲率的突然变化而造成了加速度的突变,从而导致了修磨运动的不稳定.为了解决这个问题,这里采用了回旋曲线接续的拐角轨道[3].回旋曲线具有在接续点处曲率连续变化、一阶和二阶导数连续、拐角轨道光滑等特点,可使砂轮在不减速的情况下平稳地通过拐角轨道,特别适合机器人高速度和高精度的控制要求.
  在图3中,修磨作业从A点开始到H点结束,AC、DE和FH为直线段,CD和EF分别为两段以对偶形式连接的回旋曲线.
4.1 直线轨迹规划
  在轨迹曲线AH中,AB和GH分别为加速和减速阶段,其它部分均为匀速运动.加速和减速阶段采用四次多项式曲线与匀速运动阶段进行拟合,四次多项式曲线方程如下:

P=K1t4+K2t3+K3t2+K4t+K0     (12)

式中K0是每段起始点的坐标.设加(减)速过程所用时间均为tf,边值条件为

      (13)

由上述边值条件可求出式(12)的各个系数并代回原式中得

      (14)

V1=0,V2=V时,为启动加速的AB阶段,运动方程为

      (15)

V1=V,V2=0时,为减速停止的GH阶段,运动方程为

      (16)

V1=V2=V时,为匀速直线运动阶段,其中BC段运动方程为

x=Vt+xB, y=yB      (17)

DE段

x=-Vt+xD, y=yD       (18)

FG段

x=Vt+xF, y=yF      (19)

4. 2 拐角轨道规划
  拐角轨道CM1DEM2F是两段分别以M1M2为对称中心的对偶回旋曲线,其中CM1段方程为

       (20)

式中: a为长度系数,b为比例系数,b=φm/t2mφm是对接点M1处的切线角;tm是对接点处的参变量;φ0是曲线与直线对接点处的倾角.同理DM1段方程为

     (21)

EM2

     (22)

FM2

      (23)

5 计算机仿真

  为分析在修磨过程中各关节和运动平台的速度、加速度及驱动力的变化,应用MATLAB软件对这些因素进行了计算机仿真.设整个机构及修磨轨迹方程的有关参数如下表.

仿真参数表

平台参数运动方程参数曲线节点坐标(m)
M=50kgtf=0.3sxA=xE=xF=0.1yA=yB=yC=0.1
m=25kgtm=0.19sxC=xD=xH=0.199yD=yE=0.12
m1=20kgφm=π/2xB=0.109yF=yG=yH=0.13
R=0.65mφ0=0xG=0.190z=1.0
r=0.2mV=0.06 m/s  

  首先对式(1)求导,可求得驱动关节的速度和加速度方程,其仿真结果如图4所示.另外,通过对式(15)~(23)的求导,也可求得运动平台在操作空间的速度和加速度方程,仿真结果如图5所示.从图4~图5中可见在全部修磨过程中,驱动关节和运动平台的速度和加速度都是连续的,可以满足高速修磨作业要求.

a. 各杆的速度由线       b. 各杆加速度曲线
图4 驱动关节仿真结果

a. 运动平台沿XY方向的速度   b. 运动平台沿XY方向的加速度
图5 仿真结果

  将表1中参数代入(12)式,可得三杆各移动副的驱动力变化如图6.从图6中可见,各杆驱动力在加、减速和拐角轨迹(回旋曲线)阶段有较大的变动,而在直线轨迹阶段,它的变化比较平稳的.并且在全部修磨过程中,驱动力一直是连续变化的.

图6 各杆的驱动力

6 结论

  (1) 通过对一种三自由度并联式钢坯修磨机器人机构的研究,得到了相对简单的运动学正逆解,并应用拉格朗日方法求得了机构的动力学方程的显示解.
  (2) 在钢坯修磨轨迹中,加减速及匀速直线运动阶段采用了四次曲线拟合,而在拐角轨道处应用了对偶形式的回旋曲线.
  (3) 仿真结果表明,各杆和运动平台的速度、加速度及杆的关节驱动力均为连续函数,无突变,能够满足高速修磨作业的要求.

您需要登录后才可以回帖 登录 | 注册会员

本版积分规则

中国磨床技术论坛
论 坛 声 明 郑重声明:本论坛属技术交流,非盈利性论坛。本论坛言论纯属发表者个人意见,与“中国磨削技术论坛”立场无关。 涉及政治言论一律删除,请所有会员注意.论坛资源由会员从网上收集整理所得,版权属于原作者. 论坛所有资源是进行学习和科研测试之用,请在下载后24小时删除, 本站出于学习和科研的目的进行交流和讨论,如有侵犯原作者的版权, 请来信告知,我们将立即做出整改,并给予相应的答复,谢谢合作!

中国磨削网

QQ|Archiver|手机版|小黑屋|磨削技术网 ( 苏ICP备12056899号-1 )

GMT+8, 2025-11-26 09:50 , Processed in 0.132983 second(s), 23 queries .

Powered by Discuz! X3.5

© 2001-2025 Discuz! Team.

快速回复 返回顶部 返回列表